ALCALDÍA LOCAL DE USAQUEN Alcaldía Mayor de Bogotá D.C.

Usted está aquí

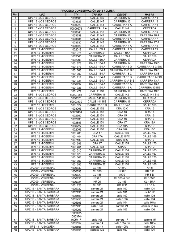
Tramos viales preseleccionados 2018


La Alcaldía de Bogotá y la Alcaldesa de Usaquén, Mayda Velásquez Rueda, informan los tramos viales preseleccionados para la conservación de la malla vial y los procesos de estudios y diseños de la localidad, vigencia 2018.

 



Infraestructura
Tramos viales preseleccionados 2018
Tramos viales preseleccionados para intervención